Konu Detayı Sayfası
Canlılar yaşamlarını sürdürebilmek ve enerji ihtiyaçlarını karşılamak için beslenmek zorundadır. Canlılar şu nedenlerden dolayı besinlere ihtiyaç duyarlar;
► Yapılarına katılacak maddeleri almak,
► Enerji ihtiyaçlarını karşılamak,
► Büyüyüp gelişmek,
► Yıpranan doku ve organlarını onarmak,
► Kimyasal tepkimelerini düzenlemek için besinlere ihtiyaç duyarlar.
► Doğada bazı canlılar kendi besinlerini kendileri üretirken, bazı canlılar besinlerini dışarıdan hazır olarak alır.
► Ekosistemdeki canlılar beslenme şekillerine göre;

► Üretici canlılar kendi besinini kendi üreten canlılardır. Bu canlılar besinlerini CO2 özümlemesi (Yani karbondioksitten organik besin üretimi yaparlar) yaparak üretirler.
► Üretici canlılar; ekosistemdeki canlı bileşenleri en önemlilerinden biridir.
► Kendi besinini kendi üretebilen canlılara ototrof canlılar denir.
► Ototrof canlılar inorganik maddeleri dış ortamdan hazır alarak organik besin üretimi yaparlar.
► Bu besinleri hem kendileri kullanır hem de diğer canlıların besin kaynağını sağlarlar.
► Ototrof canlılar; besin üretmek için farklı enerji kaynakları kullanırlar.
► Bu enerji kaynakları güneş ışığı enerjisi ve kimyasal enerjidir.
► Ototrof canlılar kullandıkları bu enerji kaynaklarına göre Fotoototrof ve Kemoototrof canlılar olarak ikiye ayrılırlar.
► Işık enerjisini kullanarak fotosentez olayı ile besin üreten canlılara Fotoototrof canlılar denir.
► Fotoototrof canlılarda klorofil pigmenti bulunur. Klorofil sayesinde ışık enerjisini kullanarak inorganik bileşiklerden organik madde sentezlerler.
Fotosentez ile besin üretimini;
1. Prokaryotlardan; bazı bakteriler fotosentez ile besin üretimi yaparlar. Bu bakterilerin klorofil molekülleri sitoplazmalarında bulunur. Çünkü kloroplast organelleri yoktur. Bu bakteriler mavi – yeşil algler, siyanobakteriler, sülfür ve hidrojen bakterileri gibi bakterilerdir. Fotosentez için ışık enerjisi ve klorofil gereklidir.
2. Ökaryotlardan; öglena, alglerin çoğu ve bitkiler (küsküt otu gibi tam parazit bitkiler hariç) fotosentez ile besin üretirler.
♦ Bitkiler; hem kendi besinlerini hem de hazır besin kullanan canlıların temel besin kaynaklarını sentezlerler.
♦ Kullandığımız oksijenin kaynağı fotosentez olayıdır.
♦ Fotosentez yapan ökaryotların klorofil molekülleri kloroplast organelinde bulunur.
Fotosentez Denklemi Şu Şekildedir.

| Fotosentez | Kemosentez |
|---|---|
| Işık enerjisi kullanılır. | Bazı inorganiklerin oksitlenmesi ile açığa çıkan kimyasal enerji kullanılır. |
| C kaynağı olarak; CO2 kullanılır. | C kaynağı olarak; CO2 kullanır. |
| Hidrojen kaynağı olarak; H2O, H2S, H2 kullanılır. | Hidrojen kaynağı olarak; H2O kullanılır. |
| Klorofil gerekir. | Klorofil gerekmez. |
| Bazı bakteriler, öglena,algler ve bitkiler fotosentetiktir. | Bazı bakteri ve arkeler kemosentetiktir. |
| Fotosentez gündüz olur. | Kemosentez gece ve gündüz olur. |
► Bazı inorganiklerin (amonyak, hidrojen, sülfür, nitrat, nitrit, demir gibi) oksitlenmesiyle açığa çıkan kimyasal enerjiyi kullanarak, kemosentez olayı ile besin üreten canlılara Kemoototrof canlılar denir.
Kemosentez ile besin üretimini;
► Sadece bazı prokaryotlar (bazı bakteriler ve arkeler) yapar.
► Ökaryot hücreli canlılar kemosentez yapamazlar.
► Kemosentez yapan bir canlı prokaryot hücre yapılıdır ve tek hücrelidir.
Üretici canlılar atmosferdeki karbondioksiti kullanarak besin üretirler. Yani tüm canlıların besin kaynağı karbondioksittir.
► Kendi besinini üretemeyen dışarıdan hazır olarak alan canlılardır.
► Besinlerini üreticilerden ya da diğer tüketicilerden sağlarlar.
Bazı bakteriler, çoğu protista, mantarlar ve hayvanlar heterotrof beslenirler.
Heterotrof Beslenme Çeşitleri
1. Holozoik Beslenme
► Besinini katı parçalar halinde alan canlılar holozoik beslenirler.
► Gelişmiş bir sindirim sistemleri vardır.
► İnsan ve hayvanlar bu şekilde beslenir.
► Bu canlılar aldıkları besin çeşidine göre üçe ayrılır.
♦ Herbivor (Otçul); sadece ot ile beslenirler. Örnek; inek, keçi, tavşan, fil, at, sığır vb.
♦ Karnivor (Etçil); sadece et ile beslenirler. Örnek; aslan, kaplan, sırtlan vb.
♦ Omnivor (Hepçil); Hem ot hem et ile beslenirler. Örnek; insan, ayı, domuz, karga, tavuk vb.
2. Ayrıştırıcılar (Saprofit = Çürükçül Canlılar)
► Bu canlılar doğadaki dökülmüş yaprakları, ölü organizmaları, dışkıları ve diğer organik maddeleri hücre dışına salgıladıkları enzimlerle ayrıştırarak inorganik maddelere kadar parçalarlar.
► Bazı bakteriler ve mantarların büyük çoğunluğu hücre dışına enzim salgılayarak bu organik besinleri ayrıştırırlar. (Ayrıca bazı solucanlar da doğadaki önemli ayrıştırıcılardandır. Solucanlar çürümekte olan organik moleküllerin olduğu her yerde yaşayabilirler.
► Daha sonra bu besinleri hücrelerine alarak beslenirler.
► Ölü ve canlı atıklarını ayrıştırdıkları için çok önemlidirler.
► Organik atıkları inorganiklere dönüştürürken besin ihtiyaçlarını da hazır olarak karşılamış olurlar.
► Ayrıştırıcılar her ekosistemde bulunur ve madde döngülerinde rol oynarlar.
Saprofit Canlıların Ekolojik Önemi
► Çevre kirliliğini önlerler.
► Toprağı inorganik madde bakımından zenginleştirirler.
► Canlılar için önemli olan karbon ve azot gibi atomların tükenmesine engel olurlar.
► Madde döngülerinin devamına katkı sağlarlar.
► Ekolojik dengenin korunmasını sağlarlar.
► Ayrıştırıcıların azot döngüsündeki işlevi, amino asitlerden amonyak oluşturmaktır.
Ölü veya Canlı Atıkları → Protein → Aminoasit → NH3
Bir ekosistemde ayrıştırıcı organizma sayısı azalırsa
► Çevre kirliliği artar.
► Başta azot olmak üzere madde döngüleri yavaşlar.
► Organik madde birikimi artar, çevrede kokuşma olur.
► Doğadaki inorganik madde miktarı azalır.
Doğadaki besin zincirinde, çürükçül beslenen canlılar, besin zincirinin her kademesinde yer alırlar.
3. Parazitlik
► Parazit beslenmede yarar gören canlıya Parazit, zarar gören canlıya ise Konak denir.
► Parazitlik aynı zamanda iki canlı arasında kurulan ve tek taraflı faydaya dayanan bir ortak yaşam şeklidir.
► Hem bitkilerde hem hayvanlarda görülebilir.
► Parazit bitkiler; tam parazit ya da yarı parazit olabilir. Bu bitkilerin gerçek kökleri olmadığı için topraktan su ve mineral alamazlar. Bu ihtiyaçlarını emeç adı verilen yapılarla üzerinde yaşadıkları bitkinin iletim demetlerine uzanarak onlardan karşılarlar.
► Tam parazit bitkiler fotosentez yapamazlar. Kloroplastları yoktur. Konak hücreden hem inorganik hem de organik besin ihtiyaçlarını karşılarlar. Örneğin; küsküt otu, canavar otu tam parazittirler.
► Yarı parazit bitkiler ise konak hücreden emeçleriyle sadece inorganik madde alırlar. Kloroplastları olduğu için fotosentez ile kendi besinlerini üretebilirler. Örneğin; ökse otu yarı parazittirler.
► Hayvansal parazitler iç ve dış parazitler şeklinde iki çeşittir.
► İç parazitler; konak canlının içinde yaşar. Örneğin; insan bağırsağında yaşayan tenya, bağırsak solucanı iç parazittirler.
► Dış parazitler ise konak canlının vücudunun dışında kan emerek beslenir. Örneğin; bit, pire, kene dış parazittirler.
► Hem üretici hem tüketici olan canlılardır. Böcekçil bitkiler ile öglena örnek olarak verilebilir.
Böcekçil Bitkiler
► Bu bitkiler azot bakımından fakir topraklarda yaşadıkları için topraktan alamadıkları azotu yakaladıkları böceklerden karşılarlar.
► Bu bitkiler; fotosentez yaparak organik besinlerini üretebilirler.
► Ancak bazı aminoasitlerin sentezi için gerekli azotu topraktan yeterince alamazlar.
► Bu ihtiyaçlarını enzim salgılayarak ayrıştırdıkları böceklerin bünyelerinden karşılarlar.
► Örnek olarak; ibrik otu ve sinekkapan verilebilir.
► Böcekçil bitkiler, azot ihtiyaçlarını karşılama yönü ile heterotrof, kloroplast taşıdıkları için fotosentez ile besinlerini üretebilme yönüyle de ototrof beslenmiş olurlar.
Öglena
► Tatlı sularda yaşayan tek hücreli bir canlıdır.
► Ökaryot hücre taşır.
► Kloroplast organeli bulundurur ve ışık varlığında kendi besinini kendisi sentezler.
► Bu yönüyle ototroftur.
► Işık yokluğunda ise dış ortamdan besinini hazır olarak alabilir.
► Bu yönüyle de heterotroftur.
Su, mineral, asit, baz ve tuz gibi inorganik maddeleri tüm canlılar dış ortamdan hazır olarak alırlar. (Ototroflar dahil)
Konuya Ait Çıkmış Sorular
Bir ekosistemde besin zinciri aşağıdaki şemada gösterildiği gibidir.

Şemada oklar, besin kaynağı olan gruptan besin alan gruba doğru çizilmiştir.
Buna göre, üretici, birincil tüketici, ikincil tüketici ve ayrıştırıcı canlı grupları, aşağıdakilerin hangisinde doğru olarak verilmiştir?
Birincil İkincil
Üretici Tüketici Tüketici Ayrıştırıcı
(2008-Öğrenci Seçme Sınavı (ÖSS))
A. K L M NDoğru Cevap İçin Tıklayınız...
Aşağıda karasal ekosisteme ait bir besin ağı verilmiştir. Harflerle belirtilen canlı türleri arasındaki beslenme ilişkileri bağlantı oklarıyla belirtilmiştir.

Bu besin ağıyla ilgili aşağıdakilerden hangisi yanlıştır?
(MEBİ 06.01.2025 TYT Deneme Sınavı)
A. Biyokütle, P türünün olduğu basamakta en fazladır.Doğru Cevap İçin Tıklayınız...
Bir ekosistemde; ölü hayvan kalıntıları (leş) ile beslenen akbabaların sayılarının azaldığı, yumurtadan çıkan yavrularda ölüm oranının arttığı ve popülasyonunun yok olma girdabına yaklaştığı gözlenmiştir.
Akbaba popülasyonunun yok olma girdabına sürüklenmesine;
I. Tarım ürünlerine ve ağaçlara zarar veren böceklere karşı kimyasal mücadele yapılması,
II. Otla beslenen hayvanların sayısının artması,
III. Ayrıştırıcı organizmaların sayısının artması,
IV. Popülasyon içerisindeki genetik çeşitliliğin azalması
Durumlarından hangileri neden olmuş olabilir?
(2013-Lisans Yerleştirme Sınavı (LYS))
A. Yalnız IIDoğru Cevap İçin Tıklayınız...
Aşağıda canlılar arasındaki beslenme ilişkilerini gösteren bir arktik besin zinciri verilmiştir.

Bu besin zinciri ile ilgili
I.Kutup ayısındaki biyolojik birikim, leopar fokundan daha azdır.
II.Arktik morina 4. trofik düzeyde yer alır.
III. Leopar fokuna aktarılan enerji, krillere aktarılan enerjiden daha fazladır.
ifadelerinden hangileri doğrudur?
(MEBİ 10.02.2025 TYT Deneme Sınavı)
A. Yalnız IDoğru Cevap İçin Tıklayınız...
Şekilde farklı besin zincirlerinin bir araya gelerek oluşturduğu bir besin ağı verilmiştir.

Bu besin ağı ile ilgili aşağıdakilerden hangisi söylenemez?
(2024-YKS-Temel Yeterlilik Testi (TYT))
A. Hem K hem de L ototrof organizmalardır.Doğru Cevap İçin Tıklayınız...
Aşağıda karasal ekosisteme ait bir besin ağı verilmiştir.

Bu besin ağıyla ilgili,
I. Üç trofik düzeyden oluşmaktadır.
II. Alt trofik düzeyden üst trofik düzeylere doğru gidildikçe aktarılan enerji miktarı azalır.
III. İkincil tüketiciler basamağında bulunan canlılar en fazla biyokütleye sahiptir.
İfadelerinden hangileri doğrudur?
(2023-YKS-Temel Yeterlilik Testi (TYT))
A. Yalnız IDoğru Cevap İçin Tıklayınız...
Aşağıdaki şekilde bir denizel ekosistemde görülen küçük bir besin ağı verilmiştir.

Şekildeki besin ağı ile ilgili aşağıdaki ifadelerden hangisi yanlıştır?
(2021-YKS-Temel Yeterlilik Testi (TYT))
A. Şeritli levrek, üçüncül tüketici basamağında yer alır.Doğru Cevap İçin Tıklayınız...
Canlıların yedikleri besinlerle aldıkları bazı zehirli maddeler, vücutta parçalanmaz ve değişik dokularda birikir. Alt trofik basamaklarda biriken bu maddeler besin zinciri yoluyla üst basamaklara aktarılır ve üst trofik basamaklarda daha yoğun hâle gelir. Bu olaya biyolojik birikim denir.
Buna göre, bir göl ekosistemine karışan bir zehirli maddenin aynı besin zincirinde yer alan aşağıdaki canlılardan hangisinin dokusunda biyolojik birikim daha fazla olur?
(2019-YKS-Temel Yeterlilik Testi (TYT))
A. FitoplanktonDoğru Cevap İçin Tıklayınız...
Bir deneyde, bir meyve sineği popülasyonu iki gruba ayrılıp nişastalı ve maltozlu besin ortamında 50 kuşak yetiştiriliyor. Farklı besin ortamlarına uyum sağlamış bu gruplara ait bireyler, daha sonra aynı ortamda bir araya getirildiğinde tabloda verilen çiftleşme sayıları elde ediliyor.
Kontrol grubu olarak deney sonuçlarının tutarlılığını sağlamak için nişasta ile beslenmiş iki farklı popülasyon kullanılıyor.

Bu deney, aşağıdakilerden hangisini araştırmak için yapılmış olabilir?
(2017-Yükseköğretime Geçiş Sınavı (YGS))
A. Meyve sineklerinin yetiştirildikleri besin ortamının eş seçimi üzerindeki etkisiniDoğru Cevap İçin Tıklayınız...
Karasal bir ekosistemde sekiz canlı türü bulunduran besin ağı aşağıdaki gibi şematize edilmiştir. Canlı türleri arasındaki beslenme ilişkileri ise bağlantı oklarıyla belirtilmiştir.

Bu besin ağıyla ilgili aşağıdakilerden hangisi yanlıştır?
(MEBİ 02.04.2025 TYT Deneme Sınavı)
A. K türünün yer aldığı trofik düzeyde biyokütle en fazladır.Doğru Cevap İçin Tıklayınız...
Konu İle İlgili Sorular
Canlıların yedikleri besinlerle aldıkları bazı zehirli maddeler, vücutta parçalanmaz ve değişik dokularda birikir. Alt trofik basamaklarda biriken bu maddeler besin zinciri yoluyla üst basamaklara aktarılır ve üst trofik basamaklarda daha yoğun hâle gelir. Bu olaya biyolojik birikim denir.
Buna göre, bir göl ekosistemine karışan bir zehirli maddenin aynı besin zincirinde yer alan aşağıdaki canlılardan hangisinin dokusunda biyolojik birikim daha fazla olur?
(2019-YKS-Temel Yeterlilik Testi (TYT))
A. FitoplanktonDoğru Cevap İçin Tıklayınız...
Doğru Cevap: E
Açıklaması:
→ Bu soru, biyolojik birikim konusuyla ilgilidir ve bizden bir besin zincirinde hangi canlının dokusunda zehirli maddenin daha fazla birikeceğini belirlememizi istemektedir.
→ Biyolojik birikim, besin zinciri boyunca zehirli maddelerin yoğunluğunun artması olayıdır. Alt trofik seviyelerinde birikmiş zehirli maddeler, besin zinciri yoluyla üst seviyelere aktarılır ve bu maddelerin yoğunluğu üst seviyelerde daha fazla olur.
→ Bu nedenle, besin zincirinde en üstte yer alan canlı, bu durumda balık kartalı, zehirli maddenin en fazla biriktiği canlı olacaktır. Çünkü balık kartalı, besin zincirindeki diğer tüm canlıları yiyerek onların vücutlarındaki zehirli maddeleri de alır. Bu da balık kartalının vücudunda zehirli maddenin daha fazla birikmesine neden olur. Bu yüzden doğru cevap E şıkkıdır.
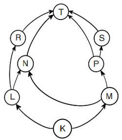
Karasal bir ekosistemde sekiz canlı türü bulunduran besin ağı aşağıdaki gibi şematize edilmiştir. Canlı türleri arasındaki beslenme ilişkileri ise bağlantı oklarıyla belirtilmiştir.

Bu besin ağıyla ilgili aşağıdakilerden hangisi yanlıştır?
(MEBİ 02.04.2025 TYT Deneme Sınavı)
A. K türünün yer aldığı trofik düzeyde biyokütle en fazladır.Doğru Cevap İçin Tıklayınız...
Doğru Cevap: C
Açıklaması:
Besin ağı grafiğinde canlılar arası beslenme ilişkileri yönlü oklarla gösterilmiş. Oklar “yenen → yiyen” şeklindedir.
Ön Bilgi: Trofik düzey 1 (üretici) → ototrof canlılar Trofik düzey 2 (birincil tüketici) → otoburlar Trofik düzey 3+ → etçiller / üst düzey tüketiciler Biyokütle, trofik düzey yükseldikçe azalır.
🔍 Şimdi seçenekleri analiz edelim:
✅ A. K türünün yer aldığı trofik düzeyde biyokütle en fazladır. K’ya ok gelmiyor, yani kimseyi yemiyor → üretici (1. trofik düzey) → En fazla biyokütle burada olur. ✅ Doğru
✅ B. T türü beş farklı besin zincirinde son tüketicidir. T’ye gelen yolları sayalım:
K → L → R → T
K → L → N → T
K → M → P → S → T
K → M → P → T
K → → N → T
→ Toplam 5 farklı yol
✅ Doğru
❌ C. L ve M türleri birinci trofik düzeyde yer alır. L: K → L → N → T → K’yı yiyor, yani 1. düzey değil, 2. düzey
M: K → M → T / P → K’yı yiyor, o da 2. düzey ➡ İkisi de birinci değil, ikinci trofik düzeyde ❌ Yanlış
✅ D. R ve S türleri sadece bir besin zincirinde bulunur. R → N → T → tek zincir S → T → tek zincir ✅ Doğru
✅ E. M türünün azalması P türünü olumsuz etkiler. M → P → M azalırsa, P besinsiz kalır ✅ Doğru
✅ Sonuç: Yanlış olan ifade C şıkkıdır.
Aşağıda karasal ekosisteme ait bir besin ağı verilmiştir.

Bu besin ağıyla ilgili,
I. Üç trofik düzeyden oluşmaktadır.
II. Alt trofik düzeyden üst trofik düzeylere doğru gidildikçe aktarılan enerji miktarı azalır.
III. İkincil tüketiciler basamağında bulunan canlılar en fazla biyokütleye sahiptir.
İfadelerinden hangileri doğrudur?
(2023-YKS-Temel Yeterlilik Testi (TYT))
A. Yalnız IDoğru Cevap İçin Tıklayınız...
Doğru Cevap: D
Bir ekosistemde; ölü hayvan kalıntıları (leş) ile beslenen akbabaların sayılarının azaldığı, yumurtadan çıkan yavrularda ölüm oranının arttığı ve popülasyonunun yok olma girdabına yaklaştığı gözlenmiştir.
Akbaba popülasyonunun yok olma girdabına sürüklenmesine;
I. Tarım ürünlerine ve ağaçlara zarar veren böceklere karşı kimyasal mücadele yapılması,
II. Otla beslenen hayvanların sayısının artması,
III. Ayrıştırıcı organizmaların sayısının artması,
IV. Popülasyon içerisindeki genetik çeşitliliğin azalması
Durumlarından hangileri neden olmuş olabilir?
(2013-Lisans Yerleştirme Sınavı (LYS))
A. Yalnız IIDoğru Cevap İçin Tıklayınız...
Doğru Cevap: C
Şekilde farklı besin zincirlerinin bir araya gelerek oluşturduğu bir besin ağı verilmiştir.

Bu besin ağı ile ilgili aşağıdakilerden hangisi söylenemez?
(2024-YKS-Temel Yeterlilik Testi (TYT))
A. Hem K hem de L ototrof organizmalardır.Doğru Cevap İçin Tıklayınız...
Doğru Cevap: E
Bir deneyde, bir meyve sineği popülasyonu iki gruba ayrılıp nişastalı ve maltozlu besin ortamında 50 kuşak yetiştiriliyor. Farklı besin ortamlarına uyum sağlamış bu gruplara ait bireyler, daha sonra aynı ortamda bir araya getirildiğinde tabloda verilen çiftleşme sayıları elde ediliyor.
Kontrol grubu olarak deney sonuçlarının tutarlılığını sağlamak için nişasta ile beslenmiş iki farklı popülasyon kullanılıyor.

Bu deney, aşağıdakilerden hangisini araştırmak için yapılmış olabilir?
(2017-Yükseköğretime Geçiş Sınavı (YGS))
A. Meyve sineklerinin yetiştirildikleri besin ortamının eş seçimi üzerindeki etkisiniDoğru Cevap İçin Tıklayınız...
Doğru Cevap: A
Açıklaması:
🔬 Deneyin Özeti: Bu deneyde: Bir meyve sineği popülasyonu, nişasta ve maltoz içeren iki farklı besin ortamına 50 kuşak boyunca ayrılarak yetiştiriliyor. Daha sonra bireyler ortak bir ortama alınarak eşleşme (çiftleşme) tercihleri gözlemleniyor. Ayrıca kontrol grubu olarak aynı besinde yetiştirilen (nişasta + nişasta) bireylerin eşleşme verileri de ölçülüyor.
📊 Tablo Yorumlama:
Kontrol Grubu (Nişasta–nişasta) Çiftleşme sayıları dengeli, bireyler arasında belirgin bir tercih yok.
Deney Grubu (Nişasta–maltoz) Nişasta ile yetişen erkekler, nişasta dişilerini daha çok tercih etmiş (22 > 9). Maltozla yetişen erkekler, maltoz dişilerini daha çok tercih etmiş (20 > 8). ✅ Bu da eş seçiminin, yetiştikleri besin ortamına göre değiştiğini gösterir.
Şıkların değerlendirmesi:
A) Meyve sineklerinin yetiştirildikleri besin ortamının eş seçimi üzerindeki etkisini ✅ → Doğrudan araştırılan konu budur. → Besin ortamı → eş seçimi davranışını etkilemiş.
B) Hangi besin ortamını tercih ettikleri ❌ → Besin seçimi değil, eş seçimi gözlemleniyor.
C) Beslenme ile hayatta kalma başarısı ilişkisi ❌ → Hayatta kalma (yaşam süresi) verisi yok.
D) Besin ortamı ile yumurta sayısı ilişkisi ❌ → Yumurta verisi gözlemlenmiyor.
E) Besin ortamlarının yaşam süresine etkisi ❌ → Yaşam süresi hakkında bilgi verilmemiş.
✅ Sonuç: 📌 Deneyin temel amacı: Besin ortamı eş seçimini etkiler mi? ➡️ Doğru cevap: A
Aşağıda canlılar arasındaki beslenme ilişkilerini gösteren bir arktik besin zinciri verilmiştir.

Bu besin zinciri ile ilgili
I.Kutup ayısındaki biyolojik birikim, leopar fokundan daha azdır.
II.Arktik morina 4. trofik düzeyde yer alır.
III. Leopar fokuna aktarılan enerji, krillere aktarılan enerjiden daha fazladır.
ifadelerinden hangileri doğrudur?
(MEBİ 10.02.2025 TYT Deneme Sınavı)
A. Yalnız IDoğru Cevap İçin Tıklayınız...
Doğru Cevap: B
Aşağıdaki şekilde bir denizel ekosistemde görülen küçük bir besin ağı verilmiştir.

Şekildeki besin ağı ile ilgili aşağıdaki ifadelerden hangisi yanlıştır?
(2021-YKS-Temel Yeterlilik Testi (TYT))
A. Şeritli levrek, üçüncül tüketici basamağında yer alır.Doğru Cevap İçin Tıklayınız...
Doğru Cevap: D
Aşağıda karasal ekosisteme ait bir besin ağı verilmiştir. Harflerle belirtilen canlı türleri arasındaki beslenme ilişkileri bağlantı oklarıyla belirtilmiştir.

Bu besin ağıyla ilgili aşağıdakilerden hangisi yanlıştır?
(MEBİ 06.01.2025 TYT Deneme Sınavı)
A. Biyokütle, P türünün olduğu basamakta en fazladır.Doğru Cevap İçin Tıklayınız...
Doğru Cevap: A
Açıklaması:
Doğru şık: A) Biyokütle, P türünün olduğu basamakta en fazladır.
→ Ekosistemlerde biyokütle üreticilerde en fazla, tüketicilere doğru gidildikçe azalır.
→ P türü en üst trofik düzeyde yer aldığı için biyokütlesi en düşük olmalıdır.
→ En fazla biyokütle, ototroflar (üreticiler) olan K, L ve M türlerinde bulunur.
→ Bu yüzden biyokütlenin en fazla olduğu yerin P türü olması yanlıştır.
Bir ekosistemde besin zinciri aşağıdaki şemada gösterildiği gibidir.

Şemada oklar, besin kaynağı olan gruptan besin alan gruba doğru çizilmiştir.
Buna göre, üretici, birincil tüketici, ikincil tüketici ve ayrıştırıcı canlı grupları, aşağıdakilerin hangisinde doğru olarak verilmiştir?
Birincil İkincil
Üretici Tüketici Tüketici Ayrıştırıcı
(2008-Öğrenci Seçme Sınavı (ÖSS))
A. K L M NDoğru Cevap İçin Tıklayınız...
Doğru Cevap: E
Öğrencilerimizin TYT (Temel Yeterlilik Testi) ve AYT (Alan Yeterlilik Testi) gibi sınavlara hazırlanırken kullanabilecekleri bilgileri sunuyoruz. Biyoloji konularında güçlü bir temel oluşturmak ve sınav başarınızı artırmak için doğru adrestesiniz!
Hasanefendi - Ramazan Paşa Mah.1921 Sok.No:24/A Efeler-Aydın
destek@biyolojihikayesi.com
+90.555.608 59 45
©
Biyoloji Hikayesi.
All Rights Reserved. Designed by
Biyoloji Hikayesi
Distributed By:
Rolpa Bilişim Pazarlama Yönetim Sistemleri